Advertising

Viewpoint
Volume 54, Issue 11, November 2025

Beyond age: A holistic approach to predicting 10-year survival of prostate cancer patients

David Homewood    Niall M Corcoran   
doi: 10.31128/AJGP-09-24-7401   |    Download article
Cite this article    BIBTEX    REFER    RIS

We have recently received numerous emails from experienced general practitioners (GPs) in response to the article ‘When less is more: Updates in active surveillance and watchful waiting in the management of prostate cancer’ that was published in the AJGP May 2024 issue.1 In short, the emails highlight the imprecise science of predicting 10-year all-cause survival and the implications this has on screening and overall management intent of prostate cancer (PCa), particularly in fit older patients (who might suffer from undertreatment bias). This was a particular focus given that the European Association of Urology (EAU) and American Urological Association (AUA) guidelines recommend treatment with palliative intent for PCa patients with a life expectancy of less than 10 years.2,3 This cut-off is based on data initially from the Scandinavian Prostate Cancer Group-4 (SPCG-4) study and corroborated by the Prostate Testing for Cancer and Treatment (ProTecT) study that demonstrated 10 years was required to produce significant difference in metastasis-free survival.4,5 Although clinical 10-year survival predictions sit at the confluence of ‘the art’ and ‘the science’ of medicine, we will seek to address these concerns by providing a literature-informed framework for such assessments. Where uncertainty in 10-year survival exists, multidisciplinary geriatrician-driven holistic review of comorbidities, nutritional status, physical function and cognitive ability are suggested for improved clinical 10-year survival prediction.2

Life expectancy for Australian men has increased significantly over the past 30 years.6 Despite concerted efforts for health equity, these improvements are spread unequally across the population.6,7 Heterogeneity in life expectancy results in inaccurate age-based 10-year life expectancy predictions.8 Fitness, and its counterpart, frailty, have been shown to give more nuanced life expectancy predictions.8 Many attempts have been made to quantify frailty with metrics such as gait speed, the Geriatric 8 (G8) score (www.mdcalc.com/calc/10426/g8-geriatric-screening-tool), the Cumulative Illness Score Rating-Geriatrics (CISR-G), the Charlson Co-morbidity Index (CCI), the Eastern Cooperative Oncology Group Performance Status (ECOG) score, and others.

Stratifying by gait speed alone, the 10-year survival rate for men aged 75 years varies significantly, from 19% for those walking slower than 0.4 m/s to 87% for those walking faster than 1.4 m/s (Figure 1).9 From these data, noting the speed at which a patient walks down the corridor gives a reasonable indication of 10-year survival.


Figure 1. Decision tree for health screening status for men aged >70 years.
Figure 1. Decision tree for health screening status for men aged >70 years.
ADLs, activities of daily living; CIRS-G, cumulative illness rating score – geriatrics; G8, geriatric 8 questionnaire.
Green, fit; orange, vulnerable; red, frail.
Adapted from Studenski S, Perera S, Patel K, et al. Gait speed and survival in older adults. JAMA 2011;305(1):50–58. doi: 10.1001/jama.2010.1923, with permission from JAMA Network.

Given heterogeneity in age-specific life expectancy, the International Society of Geriatric Oncology’s (SIOG) PCa Working Group advises that decision of treatment intent for those aged over 70 years should be informed by structured frailty assessment, with the G8 screening tool and an algorithmic decision tree proposed as a practicable solution (Figure 2, Tables 1 and 2).2,10 This tool seeks to differentiate between fit, vulnerable and frail patients who are at higher risk for mortality and adverse effects from cancer treatments.10 Healthy patients or those who can recover from geriatric problems should be treated like younger patients (treatment with curative intent), whereas vulnerable or frail patients might benefit from treatment with palliative intent.10 A G8 score below 14 suggests a need for a comprehensive geriatric  social support to determine if frailty is reversible and if so, once reversed, more accurately determine life expectancy.10 Proper geriatric evaluations and interventions can improve subsequent treatment tolerance, completion and outcomes.11


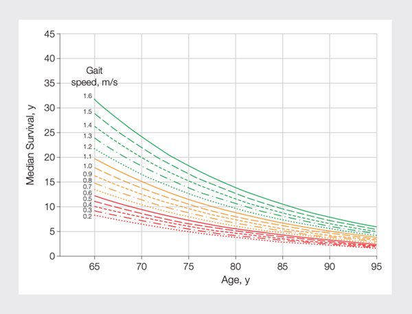
Figure 2. Predicted median life expectancy by age and gait speed for men.9

Figure 2. Predicted median life expectancy by age and gait speed for men.9
Green, fit; orange, vulnerable; red, frail.
y, years.
Adapted from the European Association of Urology (EAU) Guidelines. Edition presented at the EAU Annual Congress, Madrid, 2025. Available at https://uroweb.org/guidelines/prostate-cancer, with permission from EAU.2

Table 1. European Association of Urology guideline recommendations for evaluating health status and life expectancy2
Recommendation Strength rating
Use individual life expectancy, health status and comorbidity in prostate cancer management Strong
Use the Geriatric 8, mini-COG and Clinical Frailty Scale tools for health status @ screening Strong
Perform a full specialist geriatric evaluation in patients with a G8 score <14 Strong
Offer symptom-directed therapy alone to frail patients Strong
Consider standard treatment for vulnerable patients with reversible impairments (after resolution of geriatric problems), similar to fit patients, if life expectancy is >10 years Weak
Offer adapted treatment to patients with irreversible impairment Weak
COG, cognition; G8, geriatric 8 questionnaire.
Adapted from the European Association of Urology (EAU) Guidelines. Edition presented at the EAU Annual Congress, Madrid, 2025. Available at https://uroweb.org/guidelines/prostate-cancer, with permission from EAU.2
 
Table 2. Summary of G8 frailty questionnaire
Aspect Description
Purpose To identify frail elderly cancer patients who might benefit from a comprehensive geriatric assessment
Origin Developed by Bellera et al (2012)10
Scoring Range: 0 (heavily impaired) to 17 (not at all impaired)
Cut-off ≤14 points indicates frailty
Time to complete 5–8 minutes
Assessed areas Nutritional status, mobility, neuropsychological restrictions, polypharmacy, age, subjective health status
Sensitivity >85% for geriatric frailty
Specificity >65% for geriatric frailty
Clinical impact Predicts survival in elderly cancer patients
Limitations Mainly focused on nutrition, some items have low thresholds, some items are subjective (such as health status)

Comorbidity, more so than age, is an independent predictor of all-cause mortality in men with PCa.12,13 Comorbidity can be quantified using validated scores such as the CISR-G14 and the CCI.15 Men with high comorbidity scores are more likely to die from other causes within 10 years, regardless of age or tumour aggressiveness.2,16 Nutritional status can be evaluated based on weight changes over three months. Good nutritional status is defined as weight loss of less than 5%, risk of malnutrition is defined as weight loss between 5% and 10%, and severe malnutrition is defined as weight loss greater than 10%.17 Cognitive function can be quickly screened using the miniature cognitive (mini-Cog) test,18 with scores below 3/5 warranting further cognitive assessment.18,19 Cognitive impairment might necessitate a capacity assessment for informed decision making, and it also increases the risk of postoperative delirium.19 Physical function can be formally assessed using the ECOG score,20 whereas dependence during daily activities is typically measured through activities of daily living (ADL).21

This information can then be formulated to assess a patient as fit (with a life expectancy greater than 10 years) or unfit (with a life expectancy less than 10 years) for curative treatment.

Another consideration for establishing management intent is that large population studies have demonstrated that the morbidity of treatment varies based on age at surgery.22 For example, post prostatectomy incontinence and impotence are significantly worse in men aged over 75 years (1 year post prostatectomy: 86% continence, 31% potency vs men aged <65 years: 93.2% continence, 59.3% potency).22 Given that treatment is not necessarily curative (reduces the risk of metastasis and death, rather than abolishing it),5 the trade-off between morbidity of treatment and potential therapeutic gain begins to swing towards the former for most patients.

Further considerations must be made for social determinants of health to ensure existing social disadvantages do not propagate further health inequity.23,24 In the Australian setting, such determinants include geographic access, indigenous status and financial capacity.25 Given the significant side effects of radical therapy, future research with holistic measures such as disability-adjusted life expectancy will be important to better map these inequities.23 This will enable such inequities to be addressed by novel healthcare strategies such as eHealth and community-shared care outreach.26,27

Ultimately, screening and treatment decision making should be determined by the patient’s values, preferences, quality of life, functional abilities and expectations. These factors are particularly important for older and frail patients. Proper shared decision making might also involve family members, especially in cases of cognitive impairment.

Clinical decisions on screening, diagnosis and treatment for PCa should be based on individual life expectancy determined by health status, frailty and comorbidity rather than age alone (with screening cessation recommended at age 70 years, as outlined by urological guidelines; Table 1).2,28,29 A 10-year life expectancy or greater is accepted as a threshold for the benefit of local treatment. Older men, especially those aged ≥70 years with frailty (G8 ≤14), should undergo a comprehensive geriatric assessment to determine frailty reversibility and life expectancy to inform appropriate treatment intent of their PCa management.

Competing interests: None.
Provenance and peer review: Not commissioned, externally peer reviewed.
Funding: None.
Correspondence to:
Davidhom13@gmail.com
This event attracts CPD points and can be self recorded

Did you know you can now log your CPD with a click of a button?

Create Quick log
References
  1. Homewood D, Lucas H, Kennedy C, Majer J, Sathianathen N, Corcoran NM. When less is more: Updates in active surveillance and watchful waiting in the management of prostate cancer. Aust J Gen Pract 2024;53(5):253–57. doi: 10.31128/AJGP-06-23-6866. Search PubMed
  2. European Association of Urology (EAU) Guidelines. Edition presented at the EAU Annual Congress. Madrid, 2025. Available at https://uroweb.org/guidelines/prostate-cancer [Accessed 7 January 2025]. Search PubMed
  3. Eastham JA, Auffenberg GB, Barocas DA, et al. Clinically localized prostate cancer: AUA/ASTRO guideline, Part II: Principles of active surveillance, principles of surgery, and follow-up. J Urol 2022;208(1):19–25. doi: 10.1097/JU.0000000000002758. Search PubMed
  4. Johansson E, Steineck G, Holmberg L, et al; SPCG-4 Investigators. Long-term quality-of-life outcomes after radical prostatectomy or watchful waiting: The Scandinavian Prostate Cancer Group-4 randomised trial. Lancet Oncol 2011;12(9):891–99. doi: 10.1016/S1470-2045(11)70162-0. Search PubMed
  5. Hamdy FC, Donovan JL, Lane JA, et al; ProtecT Study Group. Fifteen-year outcomes after monitoring, surgery, or radiotherapy for prostate cancer. N Engl J Med 2023;388(17):1547–58. doi: 10.1056/NEJMoa2214122. Search PubMed
  6. Australian Bureau of Statistics (ABS). Life expectancy. ABS, 2023. Available at www.abs.gov.au/statistics/people/population/life-expectancy/latest-release#cite-window1 [Accessed 24 December 2024]. Search PubMed
  7. Cancer Australia. Australian cancer plan (Summary). Cancer Australia, 2023. Available at www.australiancancerplan.gov.au/welcome [Accessed 23 January 2025]. Search PubMed
  8. Houterman S, Janssen-Heijnen ML, Hendrikx AJ, van den Berg HA, Coebergh JW. Impact of comorbidity on treatment and prognosis of prostate cancer patients: A population-based study. Crit Rev Oncol Hematol 2006;58(1):60–67. Search PubMed
  9. Studenski S, Perera S, Patel K, et al. Gait speed and survival in older adults. JAMA 2011;305(1):50–58. Search PubMed
  10. Bellera CA, Rainfray M, Mathoulin-Pélissier S, et al. Screening older cancer patients: First evaluation of the G-8 geriatric screening tool. Ann Oncol 2012;23(8):2166–72. Search PubMed
  11. Hamaker ME, Te Molder M, Thielen N, van Munster BC, Schiphorst AH, van Huis LH. The effect of a geriatric evaluation on treatment decisions and outcome for older cancer patients – A systematic review. J Geriatr Oncol 2018;9(5):430–40. Search PubMed
  12. Albertsen PC, Moore DF, Shih W, Lin Y, Li H, Lu-Yao GL. Impact of comorbidity on survival among men with localized prostate cancer. J Clin Oncol 2011;29(10):1335–41. Search PubMed
  13. Tewari A, Johnson CC, Divine G, et al. Long-term survival probability in men with clinically localized prostate cancer: A case-control, propensity modeling study stratified by race, age, treatment and comorbidities. J Urol 2004;171(4):1513–19. Search PubMed
  14. Parmelee PA, Thuras PD, Katz IR, Lawton MP. Validation of the Cumulative Illness Rating Scale in a geriatric residential population. J Am Geriatr Soc 1995;43(2):130–37. Search PubMed
  15. Charlson ME, Pompei P, Ales KL, MacKenzie CR. A new method of classifying prognostic comorbidity in longitudinal studies: Development and validation. J Chronic Dis 1987;40(5):373–83. Search PubMed
  16. Groome PA, Rohland SL, Siemens DR, Brundage MD, Heaton J, Mackillop WJ. Assessing the impact of comorbid illnesses on death within 10 years in prostate cancer treatment candidates. Cancer 2011;117(17):3943–52. Search PubMed
  17. Blanc-Bisson C, Fonck M, Rainfray M, Soubeyran P, Bourdel-Marchasson I. Undernutrition in elderly patients with cancer: Target for diagnosis and intervention. Crit Rev Oncol Hematol 2008;67(3):243–54. Search PubMed
  18. Borson S, Scanlan JM, Chen P, Ganguli M. The Mini-Cog as a screen for dementia: Validation in a population-based sample. J Am Geriatr Soc 2003;51(10):1451–54. Search PubMed
  19. Robinson TN, Wu DS, Pointer LF, Dunn CL, Moss M. Preoperative cognitive dysfunction is related to adverse postoperative outcomes in the elderly. J Am Coll Surg 2012;215(1):12–17. Search PubMed
  20. Oken MM, Creech RH, Tormey DC, et al. Toxicity and response criteria of the Eastern Cooperative Oncology Group. Am J Clin Oncol 1982;5(6):649–55. Search PubMed
  21. Katz S, Ford AB, Moskowitz RW, Jackson BA, Jaffe MW. Studies of Illness in the aged. The index of ADL: A standardized measure of biological and psychological function. JAMA 1963;185:914–19. Search PubMed
  22. Mandel P, Graefen M, Michl U, Huland H, Tilki D. The effect of age on functional outcomes after radical prostatectomy. Urol Oncol 2015;33(5):203.e11–18. Search PubMed
  23. Tomic K, Ventimiglia E, Robinson D, Häggström C, Lambe M, Stattin P. Socioeconomic status and diagnosis, treatment, and mortality in men with prostate cancer. Nationwide population-based study. Int J Cancer 2018;142(12):2478–84. Search PubMed
  24. Marmot M. The health gap: The challenge of an unequal world. Lancet 2015;386(10011):2442–44. Search PubMed
  25. LeBlanc M, Petrie S, Paskaran S, Carson DB, Peters PA. Patient and provider perspectives on eHealth interventions in Canada and Australia: A scoping review. Rural Remote Health 2020;20(3):5754. doi:10.22605/RRH5754. Search PubMed
  26. Homewood DC, Mcdonald J, Valaydon Z, et al. eHealth platforms facilitate prostate cancer shared care: A systematic review. Healthcare (Basel) 2024;12(17):1768. doi: 10.3390/healthcare12171768. Search PubMed
  27. Homewood D, Keane KG, Haridy J, et al. Updates in digital shared care: Launching into the 21st century. Aust J Gen Pract 2024;53(11):872–78. doi: 10.31128/AJGP-10-23-7005. Search PubMed
  28. Eastham JA, Auffenberg GB, Barocas DA, et al. Clinically localized prostate cancer: AUA/ASTRO Guideline, Part I: Introduction, risk assessment, staging, and risk-based management. J Urol 2022;208(1):10–18. doi: 10.1097/JU.0000000000002757. Search PubMed
  29. Van Poppel H, Roobol MJ, Chapple CR, et al. Prostate-specific antigen testing as part of a risk-adapted early detection strategy for prostate cancer: European Association of Urology position and recommendations for 2021. Eur Urol 2021;80(6):703–11. doi: 10.1016/j.eururo.2021.07.024. Search PubMed

CancerGeriatricsProstateUrology

Download article